说明
我们之前探讨了多种算法,每种算法都有优缺点,因而当我们针对具体问题去判断选择那种算法时,必须对不同的预测模型进行重做评估。
为了简化这个过程,我们使用caret包来生成并比较不同的模型与性能。
操作
加载对应的包与将训练控制算法设置为10折交叉验证,重复次数为3:
library(rocr)
library(e1071)
library("proc")
library(caret)
library("proc")
control = traincontrol(method = "repaetedcv",
number = 10,
repeats =3,
classprobs = true,
summaryfunction = twoclasssummary)
使用glm在训练数据集上训练一个分类器
glm.model = train(churn ~ ., data= trainset, method = "glm", metric = "roc", trcontrol = control)
使用svm在训练数据集上训练一个分类器
svm.model = train(churn ~ ., data= trainset, method = "svmradial", metric = "roc", trcontrol = control)
使用rpart函数查看rpart在训练数据集上的运行情况
rpart.model = train(churn ~ ., data = trainset, method = "svmradial", metric = "roc", trcontrol = control)
使用不同的已经训练好的数据分类预测:
glm.probs = predict(glm.model,testset[,!names(testset) %in% c("churn")],type = "prob")
svm.probs = predict(svm.model,testset[,!names(testset) %in% c("churn")],type = "prob")
rpart.probs = predict(rpart.model,testset[,!names(testset) %in% c("churn")],type = "prob")
生成每个模型的roc曲线,将它们绘制在一个图中:
glm.roc = roc(response = testset[,c("churn")],
predictor = glm.probs$yes,
levels = levels(testset[,c("churn")]))
plot(glm.roc,type = "s",col = "red")
svm.roc = roc(response = testset[,c("churn")],
predictor = svm.probs$yes,
levels = levels(testset[,c("churn")]))
plot(svm.roc,add = true,col = "green")
rpart.roc = roc(response = testset[,c("churn")],
predictor = rpart.probs$yes,
levels = levels(testset[,c("churn")]))
plot(rpart.roc,add = true,col = "blue")

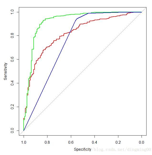
三种分类器的roc曲线
说明
将不同的分类模型的roc曲线绘制在同一个图中进行比较,设置训练过程的控制参数为重复三次的10折交叉验证,模型性能的评估参数为twoclasssummary,然后在使用glm,svm,rpart,三种不同的方法建立分类模型。
从图中可以看出,svm对训练集的预测结果(未调优)是三种分类算法里最好的。
补充:r语言利用caret包比较模型性能差异
说明
我们可以通过重采样的方法得对每一个匹配模型的统计信息,包括roc曲线,灵敏度与特异度,然后基于这些统计信息来比较不同模型的性能差异。
操作
利用上节的信息,准备好glm分类模型,svm分类模型,rpart分类模型,并存放在glm.model,svm.model,rpart.model。
cv.values = resamples(list(glm = glm.model,svm =svm.model,rpart = rpart.model)) > summary(cv.values) call: summary.resamples(object = cv.values) models: glm, svm, rpart number of resamples: 30 roc min. 1st qu. median mean 3rd qu. max. na's glm 0.7597790 0.7927740 0.8040455 0.8106454 0.8347961 0.8760824 0 svm 0.8191998 0.8786439 0.8945208 0.8947360 0.9196775 0.9562556 0 rpart 0.6064540 0.7150320 0.7608241 0.7556544 0.8086731 0.8554750 0 sens min. 1st qu. median mean 3rd qu. max. na's glm 0.08823529 0.1764706 0.2058824 0.2124930 0.2516807 0.3235294 0 svm 0.44117647 0.5294118 0.5882353 0.5956863 0.6470588 0.7941176 0 rpart 0.20000000 0.4117647 0.4705882 0.4787955 0.5514706 0.7352941 0 spec min. 1st qu. median mean 3rd qu. max. na's glm 0.9393939 0.9645119 0.9721581 0.9702721 0.9796954 0.9898477 0 svm 0.9494949 0.9695431 0.9771574 0.9755004 0.9847716 0.9898990 0 rpart 0.9492386 0.9746193 0.9796954 0.9780359 0.9848485 1.0000000 0
使用dotplot函数绘制重采样在roc曲线度量中的结果:
dotplot(cv.values,metric = "roc")

使用箱线图绘制重采样结果:
bwplot(cv.values,layout=c(3,1))

重采样结果箱线图
说明
我们使用resample函数生成各个模型的统计信息,再调用summary函数输出三个模型在roc、灵敏度及特异性上的统计信息。
使用dotplot方法处理重采样结果来观测不同模型roc差异,最后,采用箱线图在同一张图上对roc、灵敏度及特异方面的差别进行比较。
以上为个人经验,希望能给大家一个参考,也希望大家多多支持。如有错误或未考虑完全的地方,望不吝赐教。
奭麚