| 导读 | 这篇文章主要为大家详细介绍了OpenCV实现图像距离变换,文中示例代码介绍的非常详细,具有一定的参考价值,感兴趣的小伙伴们可以参考一下 |
图像中两个像素之间的距离有多种定义方式,图像处理中常用的距离有欧式距离、街区距离和棋盘距离,欧式距离略。
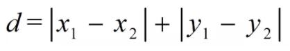
两个像素点X方向和Y方向的距离之和。欧式距离表示的是从一个像素点到另一个像素点的最短距离,然而有时我们并不能以两个点之间连线的方向前进,例如在一个城市内两点之间的连线可能存在障碍物的阻碍,因此从一个点到另一个点需要沿着街道行走,因此这种距离的度量方式被称为街区距离。街区距离就是由一个像素点到另一个像素点需要沿着X方向和Y方向一共行走的距离,数学表示形式如式所示。

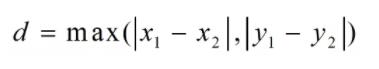
两个像素点X方向距离和Y方向距离的最大值。与街区距离相似,棋盘距离也是假定两个像素点之间不能够沿着连线方向靠近,像素点只能沿着X方向和Y方向移动,但是棋盘距离并不是表示由一个像素点移动到另一个像素点之间的距离,而是表示两个像素点移动到同一行或者同一列时需要移动的最大距离,数学表示形式如式所示。

CV_EXPORTS_AS(distanceTransformWithLabels) void distanceTransform( InputArray src, OutputArray dst,
OutputArray labels, int distanceType, int maskSize,
int labelType = DIST_LABEL_CCOMP );
- src:输入图像,数据类型为CV_8U的单通道图像
- dst:输出图像,与输入图像具有相同的尺寸,数据类型为CV_8U或者CV_32F的单通道图像。
- labels:二维的标签数组(离散Voronoi图),与输入图像具有相同的尺寸,数据类型为CV_32S的单通道数据。
- distanceType:选择计算两个像素之间距离方法的标志,其常用的距离度量方法在表6-1给出。
- maskSize:距离变换掩码矩阵的大小,参数可以选择的尺寸为DIST_MASK_3(3×3)和DIST_MASK_5(5×5).
- labelType:要构建的标签数组的类型,可以选择的参数在表给出。

- 该函数用于实现图像的距离变换,即统计图像中所有像素距离0像素的最小距离。
- 函数的第一个参数为待距离变换的输入图像,输入图像要求必须是CV_8U的单通道图像。
- 函数第二个参数是原图像距离变换后的输出图像,与输入图像具有相同的尺寸,图像中每个像素值表示该像素在原图像中距离0像素的最小距离。由于图像的尺寸可能大于256,因此图像中某个像素距离0像素的最近距离有可能会大于255,为了能够正确的统计出每一个像素距离0像素的最小距离,输出图像的数据类型可以选择CV_8U或者CV_32F。
- 函数第三个参数是原图像的Voronoi图,输出图像是数据类型为CV_32S单通道图像,图像尺寸与输入图像相同。
- 函数第四个参数是距离变换过程中使用的距离种类,常用的距离为欧式距离(DIST_L2)、街区距离(DIST_L1)和棋盘距离(DIST_C)。
- 函数第五个参数是求取路径时候的掩码尺寸,该尺寸与选择的距离种类有着密切的关系,当选择使用街区距离时,掩码尺寸选择3×3还是5×5对计算结果都没有影响,因此为了加快函数运算速度,默认选择掩码尺寸为3×3;当选择欧式距离时,掩码尺寸为3×3时是粗略的计算两个像素之间的距离,而当掩码尺寸为5×5时是精确的计算两个像素之间的距离,精确计算与粗略计算两者之间存在着较大的差异,因此在使用欧式距离时推荐使用5×5掩码;当选择棋盘距离时,掩码的尺寸对计算结果也没有影响,因此可以随意选择。
- 函数的最后一个参数为构建标签数组的类型,当labelTypeDIST_LABEL_CCOMP时,该函数会自动在输入图像中找到0像素的连通分量,并用不同的标签标记它们。当labelTypeDIST_LABEL_CCOMP时,该函数扫描输入图像并用不同的标签标记所有0像素。
该函数原型在对图像进行距离变换的同时会生成Voronoi图,但是有时只是为了实现对图像的距离变换,并不需要使用Voronoi图,而使用该函数必须要求创建一个Mat类变量用于存放Voronoi图,占用了内存资源,因此distanceTransform()函数的第二种函数原型中取消了生成Voronoi图,只输出距离变换后的图像
void distanceTransform( InputArray src, OutputArray dst,
int distanceType, int maskSize, int dstType=CV_32F);
- src:输入图像,数据类型为CV_8U的单通道图像
- dst:输出图像,与输入图像具有相同的尺寸,数据类型为CV_8U或者CV_32F的单通道图像。
- distanceType:选择计算两个像素之间距离方法的标志,其常用的距离度量方法在表6-1给出。
- maskSize:距离变换掩码矩阵的大小,参数可以选择的尺寸为DIST_MASK_3(3×3)和DIST_MASK_5(5×5)。
- dstType:输出图像的数据类型,可以是CV_8U或者CV_32F。
该函数原型中的主要参数含义与前一种函数原型相同,前两个参数为输入图像和输出图像,第三个参数和为距离变换过程中使用的距离种类。函数中第四个参数是距离变换掩码矩阵的大小,由于街区距离(Dist_L1)和棋盘距离(Dist_C)对掩模尺寸没有要求,因此该参数在选择街区距离和棋盘距离时被强制设置为3,同样掩模尺寸的大小对欧式距离(Dist_L2)计算的精度有影响,为了获取较为精确的时,一般使用5×5的掩模矩阵。函数最后一个参数是输出图像的数据类型,虽然可以在CV_8U和CV_32F两个类型中任意选择,但是图像输出时实际的数据类型与距离变换时选择的距离种类有着密切的联系,CV_8U只能使用在计算街区距离的条件下,当计算欧式距离和棋盘距离时,即使该参数设置为CV_8U,实际的输出图像的数据类型也是CV_32F。
// // Created by smallflyfly on 2021/6/15. // #include "opencv2/opencv.hpp" #include "opencv2/highgui.hpp" #include "utils.hpp" #includeusing namespace std; using namespace cv; int main() { // 自定义矩阵 Mat a = (Mat_ (5, 5) < 1,1,1,1,1,="" 1,1,1,1,1,="" 1,1,0,1,1,="" 1,1,1,1,1,="" 1,1,1,1,1="" );="" mat="" distl1,="" distl2,="" distc;="" distancetransform(a,="" distl1,="" dist_l1,="" 3,="" cv_8u);="" distancetransform(a,="" distl2,="" dist_l2,="" 5,="" cv_8u);="" distancetransform(a,="" distc,="" dist_c,="" 3,="" cv_8u);="" cout="">< distl1="">< endl;="" cout="">< distl2="">< endl;="" cout="">< distc="">< endl;="" mat="" im="imread(" test.jpg","="" imread_grayscale);="" if="" (im.empty())="" {="" cerr="">< "image="" file="" read="" error"="">< endl;="" return="" -1;="" }="" resize(im,="" im,="" size(0,="" 0),="" 0.5,="" 0.5);="" 转为二值图像="" mat="" im1,="" im2;="" threshold(im,="" im1,="" 125="" ,255,="" thresh_binary);="" threshold(im,="" im2,="" 125,="" 255,="" thresh_binary_inv);="" mat="" dist1,="" dist2;="" distancetransform(im1,="" dist1,="" dist_l1,="" 3,="" cv_32f);="" distancetransform(im2,="" dist2,="" dist_l1,="" 3,="" cv_8u);="" showimage("im1",="" im1);="" showimage("dist1",="" dist1);="" showimage("im2",="" im2);="" showimage("dist2",="" dist2);="" waitkey(0);="" destroyallwindows();="" return="" 0;="">
鑄心