频率直方图是数据统计中经常会用到的图形展示方式,同时在生物学分析中可以更好的展示表型性状的数据分布类型;r基础做图中的hist函数对单一数据的展示很方便,但是当遇到多组数据的时候就不如ggplot2绘制来的方便。
***
1.基础做图hist函数
hist(rnorm(200),col='blue',border='yellow',main='',xlab='')

1.1 多图展示
par(mfrow=c(2,3))
for (i in 1:6) {hist(rnorm(200),border='yellow',col='blue',main='',xlab='')}

2.ggplot2绘制
构造一组正态分布的数据
ph<-data.frame(rnorm(300,75,5))
names(ph)<-c('ph')
#显示数据
head(ph)
## ph
## 1 72.64837
## 2 67.10888
## 3 89.34927
## 4 75.70969
## 6 82.85354
加载ggplot2作图包并绘图
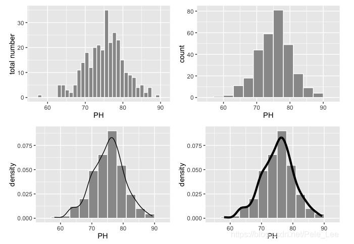
library(ggplot2) library(gridextra) p1<-ggplot(data=ph,aes(ph)) geom_histogram(color='white',fill='gray60') #控制颜色 ylab(label = 'total number') #修改y轴标签
2.1 修改柱子之间的距离
p2<-ggplot(data=ph,aes(ph)) geom_histogram(color='white',fill='gray60',binwidth = 3)
2.2 添加拟合曲线
p3<-ggplot(data=ph,aes(ph,..density..)) geom_histogram(color='white',fill='gray60',binwidth = 3) geom_line(stat='density')
2.3 修改线条的粗细
p4<-ggplot(data=ph,aes(ph,..density..)) geom_histogram(color='white',fill='gray60',binwidth = 3) geom_line(stat='density',size=1.5) grid.arrange(p1,p2,p3,p4)

2.4 绘制密度曲线
p1<-ggplot(data=ph,aes(ph,..density..)) geom_density(size=1.5)
2.5 修改线条样式
p2<-ggplot(data=ph,aes(ph,..density..)) geom_density(size=1.5,linetype=2) p3<-ggplot(data=ph,aes(ph,..density..)) geom_density(size=1.5,linetype=5)
2.6 修改颜色
p4<-ggplot(data=ph,aes(ph,..density..)) geom_density(size=1.5,linetype=2,colour='red') grid.arrange(p1,p2,p3,p4)

2.7 多组数据展示
构造两组数据
df<-data.frame(c(rnorm(200,5000,200),rnorm(200,5000,600)),rep(c('bj','tj'),each=200))
names(df)<-c('salary','city')
结果展示
library(ggplot2) p1<-ggplot() geom_histogram(data=df,aes(salary,..density..,fill=city),color='white') p2<-ggplot() geom_histogram(data=df,aes(salary,..density..,fill=city),color='white',alpha=.5) p3<-ggplot() geom_density(data=df,aes(salary,..density..,color=city)) p4<-ggplot() geom_histogram(data=df,aes(salary,..density..,fill=city),color='white') geom_density(data=df,aes(salary,..density..,color=city)) grid.arrange(p1,p2,p3,p4)

补充:r语言在直方图上添加正太曲线与核密度曲线
lines(x=横坐标向量,y=纵坐标向量),在已有图像上添加曲线
hist(数值型向量,freq=true/false)freq取true纵坐标为频数,否则为频率



以上为个人经验,希望能给大家一个参考,也希望大家多多支持。如有错误或未考虑完全的地方,望不吝赐教。
黑桃王