Spark 的核心是建立在统一的抽象 RDD 之上,基于 RDD 的转换和行动操作使得 Spark 的各个组件可以无缝进行集成,从而在同一个应用程序中完成大数据计算任务。
在实际应用中,存在许多迭代式算法和交互式数据挖掘工具,这些应用场景的共同之处在于不同计算阶段之间会重用中间结果,即一个阶段的输出结果会作为下一个阶段的输入。而 Hadoop 中的 MapReduce 框架都是把中间结果写入到 HDFS 中,带来了大量的数据复制、磁盘 IO 和序列化开销,并且通常只支持一些特定的计算模式。而 RDD 提供了一个抽象的数据架构,从而让开发者不必担心底层数据的分布式特性,只需将具体的应用逻辑表达为一系列转换处理,不同 RDD 之间的转换操作形成依赖关系,可以实现管道化,从而避免了中间结果的存储,大大降低了数据复制、磁盘 IO 和序列化开销。
一个 RDD 就是一个分布式对象集合,提供了一种高度受限的共享内存模型,其本质上是一个只读的分区记录集合,不能直接修改。每个 RDD 可以分成多个分区,每个分区就是一个数据集片段,并且一个 RDD 的不同分区可以保存到集群中不同的节点上,从而可以在集群中的不同节点上进行并行计算。
RDD 提供了一组丰富的操作以支持常见的数据运算,分为“行动”(Action)和“转换”(Transformation)两种类型,前者用于执行计算并指定输出的形式,后者指定 RDD 之间的相互依赖关系。RDD 提供的转换接口都非常简单,都是类似 map 、filter 、groupBy 、join 等粗粒度的数据转换操作,而不是针对某个数据项的细粒度修改。因此,RDD 比较适合对于数据集中元素执行相同操作的批处理式应用,而不适合用于需要异步、细粒度状态的应用,比如 Web 应用系统、增量式的网页爬虫等。
RDD 的典型的执行过程如下:
读入外部的数据源(或者内存中的集合)进行 RDD 创建;
RDD 经过一系列的 “转换” 操作,每一次都会产生不同的 RDD,供给下一个转换使用;
最后一个 RDD 经过 “行动” 操作进行处理,并输出指定的数据类型和值。
RDD 采用了惰性调用,即在 RDD 的执行过程中,所有的转换操作都不会执行真正的操作,只会记录依赖关系,而只有遇到了行动操作,才会触发真正的计算,并根据之前的依赖关系得到最终的结果。

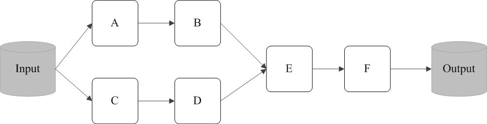
下面以一个实例来描述 RDD 的实际执行过程,如下图所示,开始从输入中创建了两个 RDD,分别是 A 和 C,然后经过一系列的转换操作,最终生成了一个 F,这也是一个 RDD。注意,这些转换操作的执行过程中并没有执行真正的计算,基于创建的过程也没有执行真正的计算,而只是记录的数据流向轨迹。当 F 执行了行为操作并生成输出数据时,Spark 才会根据 RDD 的依赖关系生成有向无环图(DAG),并从起点开始执行真正的计算。正是 RDD 的这种惰性调用机制,使得转换操作得到的中间结果不需要保存,而是直接管道式的流入到下一个操作进行处理。

总体而言,Spark 采用 RDD 以后能够实现高效计算的主要原因如下:
高效的容错性。在 RDD 的设计中,只能通过从父 RDD 转换到子 RDD 的方式来修改数据,这也就是说我们可以直接利用 RDD 之间的依赖关系来重新计算得到丢失的分区,而不需要通过数据冗余的方式。而且也不需要记录具体的数据和各种细粒度操作的日志,这大大降低了数据密集型应用中的容错开销。
中间结果持久化到内存。数据在内存中的多个 RDD 操作之间进行传递,不需要在磁盘上进行存储和读取,避免了不必要的读写磁盘开销;
存放的数据可以是 Java 对象,避免了不必要的对象序列化和反序列化开销。
RDD 中的不同的操作会使得不同 RDD 中的分区会产生不同的依赖关系,主要分为窄依赖(Narrow Dependency)与宽依赖(Wide Dependency)。其中,窄依赖表示的是父 RDD 和子 RDD 之间的一对一关系或者多对一关系,主要包括的操作有 map、filter、union 等;而宽依赖则表示父 RDD 与子 RDD 之间的一对多关系,即一个父 RDD 转换成多个子 RDD,主要包括的操作有 groupByKey、sortByKey 等。

对于窄依赖的 RDD,可以以流水线的方式计算所有父分区,不会造成网络之间的数据混合。对于宽依赖的 RDD,则通常伴随着 Shuffle 操作,即首先需要计算好所有父分区数据,然后在节点之间进行 Shuffle。因此,在进行数据恢复时,窄依赖只需要根据父 RDD 分区重新计算丢失的分区即可,而且可以并行地在不同节点进行重新计算。而对于宽依赖而言,单个节点失效通常意味着重新计算过程会涉及多个父 RDD 分区,开销较大。此外,Spark 还提供了数据检查点和记录日志,用于持久化中间 RDD,从而使得在进行失败恢复时不需要追溯到最开始的阶段。在进行故障恢复时,Spark 会对数据检查点开销和重新计算 RDD 分区的开销进行比较,从而自动选择最优的恢复策略。
Spark 通过分析各个 RDD 的依赖关系生成了 DAG ,再通过分析各个 RDD 中的分区之间的依赖关系来决定如何划分阶段,具体划分方法是:在 DAG 中进行反向解析,遇到宽依赖就断开,遇到窄依赖就把当前的 RDD 加入到当前的阶段中;将窄依赖尽量划分在同一个阶段中,可以实现流水线计算。例如在下图中,首先根据数据的读取、转化和行为等操作生成 DAG。然后在执行行为操作时,反向解析 DAG,由于从 A 到 B 的转换和从 B、F 到 G 的转换都属于宽依赖,则需要从在宽依赖处进行断开,从而划分为三个阶段。把一个 DAG 图划分成多个 “阶段” 以后,每个阶段都代表了一组关联的、相互之间没有 Shuffle 依赖关系的任务组成的任务集合。每个任务集合会被提交给任务调度器(TaskScheduler)进行处理,由任务调度器将任务分发给 Executor 运行。

通过上述对 RDD 概念、依赖关系和阶段划分的介绍,结合之前介绍的 Spark 运行基本流程,这里再总结一下 RDD 在 Spark 架构中的运行过程(如下图所示):
创建 RDD 对象;
SparkContext 负责计算 RDD 之间的依赖关系,构建 DAG;
DAGSchedule 负责把 DAG 图反向解析成多个阶段,每个阶段中包含多个任务,每个任务会被任务调度器分发给工作节点上的 Executor 上执行。

那晚越女说我?