插入公式后,将公式单独放在一个段落,在公式上点击右键,选择“设置对象格式|版式”为嵌入型(Word默认)。
光标放在公式之后,不要(注意是“不要”)选中公式,在“插入|引用”菜单选“题注”(2007中是引用-插入题注),由于没有选中项目,所以“位置”一项为灰色,新建标签“公式1-”,在编号一项选中包含章节号,点击“确定”。
点击“确定”,Word就将标签文字和自动产生的序号插入到光标所在位置。根据需要,可以给序号添加括号。
公式的编号要求在右边行末,具体方法:制表位是指水平标尺上的位置,它指定了文字缩进的距离或一栏文字开始的位置,使用户能够向左、向右或居中对齐文本行;或者将文本与小数字符或竖线字符对齐。用户可以在制表符前自动插入特定字符,如句号或划线等。默认情况下,按一次Tab键,Word将在文档中插入一个制表符,其间隔为0.74厘米。制表位的类型包括:左对齐,居中对齐,右对齐,小数点对齐和竖线对齐等,这些制表位的使用方法大致相同,这里仅根据论文中公式排版的要求和目录的制作为例说明制表位的使用方法和效果,更详细的说明请参阅Word的帮助文档。
论文里的公式要求单独放在一个段落,公式居中;按章节进行编号,编号用小括号括起来放在右边行末。首先输入公式和编号,公式的版式选择“嵌入式”,编号用小括号括起来。然后把光标放在公式所在的段落里,点击页面左上角的制表位图标,切换到居中制表位,用鼠标在水平标尺上大约中间的位置点一下,这样就放置了一个居中制表位在点击的地方,如果位置不合适还可以用鼠标拖动进行调节。
把左上角的制表位图标切换到右对齐制表位,用放置居中制表位相同的方法放置一个右对齐制表位在行末。
设置好制表位后,把光标放在公式的前面,按一下Tab键,这样就在公式的前面插入了一个制表符,此时公式以居中制表位为中心居中对齐,再把光标移到公式和左括号之间,再按Tab键插入一个制表符,编号就跑到行末了。
用制表位的方法来处理公式的排版,很简单也很方便,不用去敲很多空格去把公式挪到中间,编号推到行末。还有一个好处,若公式或编号的长度发生变化时,Word会自动调节以使公式始终在页面的中间,编号始终在行末,不会因为公式或编号变长而换行。
若手工设置制表位,无法保证每次居中制表位和右对齐制表位的位置都一样。更简单的作法是把公式段落的设置保存为样式,所有的公式段落应用此样式,即简单又方便,而且可以保持所有的公式段落制表位的一致。
把公式段落的设置保存为样式的方法:公式的格式设置好后(即已通过题注插入编号,并且已通过制表位设置公式居中、编号在右边行末),选中该公式及其编号,点击“格式|样式和格式”,这时在word右方出现“样式和格式”栏,点击该栏上部的“新样式”,即弹出“新建样式”框,将框里的“名称”改为你熟悉的名称,例如改为“my”,然后确定,则“my”就出现在word右边的格式设置栏里。新公式段落应用此样式的方法:题注给新公式编号后,选中公式和编号,在
word右边“样式和格式”栏里选中“my”,此时新公式已经应用了制表位的设置,把光标放在公式的前面,按一下Tab键,此时公式以居中制表位为中心居中对齐,再把光标移到公式和左括号之间,再按Tab键插入一个制表符,编号就跑到行末了。
注:
(1)插入题注过程中“新建标签”时,Word会自动在标签文字和序号之间加一个空格,看起来不那么舒服,可以在插入题注后将空格删除,这样在文档中引用该图的编号时,做成的书签就不会有空格了。
(2)书签名最好用图(表、公式)的说明文字,尽量做到见名知“图”。
(3)图(表、公式)的编号改变时,文档中的引用有时不会自动更新,可以鼠标右击引用文字,在弹出的菜单中选“更新域”。关闭文档再打开Word会更新所有的域。
在Word中公式后面的编号怎么处理
您好,中公教育为您服务。
可以删除被保存为“自动图文集”项目的那行了。现在,可以给哪些公式编号了!请按如下步骤操作: 1.单击公式的最右端的箭头;如有必要,单击“更改为内嵌”选项。 2.在行开始处(在公式容器外面),按下Ctrl+Tab键。 3.在行尾(在公式容器外面),键入与上面第五步使用的名称并按下F3键。 现在应该有了已编号的公式。如果插入或删除公式,可能需要选择整个组并且按下F9键来更新编号。
如有疑问,欢迎向中公教育企业知道提问。
word求和公式怎么输入
我们大家都知道excel中具有很强大的公式运算功能,而word在表格美化方面更具有特长。所示我们一般制作文字表格要word,而数据表格会用excel,但是有时我们有word中有一些简单的数据要计算时,我们如果要到excel中去计算的话要进行转换,有点麻烦,其实用word就可以完成一些简单的计算,比如求和,求平均值等。
方法/步骤
打开一个需要进行数据计算的表格,如下图中,我们 已知五个学生的语文、数学、外语成绩,我们要通过公式完成总分和平均分的计算;
把光标移动到要求总分的单元格,点击菜单栏的“表格”菜单,执行菜单中的“公式”命令。打开“公式”对话框;
在打开的“公式”对话框中, 公式中会默认识别我们要计算的数据,一般会识别成求和,如下图,公式自动识别,对左边数据进行求和;点击确定按钮后,总分就自动求出来了。如下图所示;
刚才我们用的公式是=sum(left),意思是对左边的数据进行求和,那么我们要求的数据不是全部左边的怎么办,其实word中继承了excel中公式和单元格的方法,整个表格也以A,B开始例列,而1,2开始命名行。所以我们要计算张三2的总分,我们输入公式=sum(b3:d3);
我们还可以用单个数据参数的方法来计算和,如我们要计算张三3的总分,我们可以在公式栏中输入=sum(b4,c4,d4) 如下图,同样可以总分计算出来;
我们可以用上面的方法,把其他学生的成绩进行计算,word中只能一个一个数据进行计算,不可以像在excel中一样对公式进行复制,所以只能对简单少量的数据进行计算,如果数据量大的话不建议用word进行。
下面我们来计算成绩的平均分,学会了计算总分,现在来求平均值其实很简单;和求总分一样,把光标移动到要求平均值的单元格;打开公式对话框;
在打开的公式对话框中,我们在粘贴函数下拉列表中找到AVERAGE(),即求平均数的公式,这个公式和excel中的是一样的,下面我们就要以用步骤4和步骤5的方法来计计算平均值了。
我们在张三1的平均分单元格中输入公式=AVERAGE(b2:d2),设置好后点击确定按钮,张三1的平均分就自动求出来了,我们可以用相同的方法对其他学生的成绩进行计算;
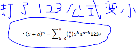
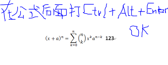
WORD2007 公式后面加编号就会变小 有图 求帮助
采用样式分隔符(Ctrl+alt+enter)即可,输完公式后,按enter转行,输入你要的东西(题注什么的),然后再在公式后面按Ctrl+alt+enter,你要输入的东西就会自动上去了。希望对你有用!
这是原始公式!
可以参考http://emuch.net/html/201101/2758708.html
word交叉引用公式编号时,怎么总是连公式一起引用
Office 2013处理方法:
1,原始公式如下:
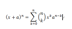
a-b=1 (1)
2.在公式和编号之间按下Enter(这一步非常重要,否则会导致第3部无法插入样式分隔符到公编号的左边),将编号弄到下一行:
a-b=1
(1)
3.在公式a-b=1右侧插入样式分隔符:ctrl+alt+enter.公式和编号又会变到同一行,并且出现样式分隔符。这时候样式分隔符就会插到公式左边:
4.有了样式分隔符,相当于将公式和编号分隔。正文中交叉引用公式编号时,前面的公式一起引用就不会出现了
word2010公式输不进去数字怎么回事?急求
我刚才碰到同样的情况,后来摸索发现时自己按了“insert”键,再按一下就哦了,你看是不是
怎样在Word中做到让公式居中对齐、行末的公式编号右对齐
2)光标停在公式所在的行
3)用鼠标在标尺上点击左键,即出现一个制表位,拖到居中的位置,
如此这般,再建立一个指表位,拖到行尾部
4)修改制表位的属性,前一个设置为居中,后一个设置为右对齐!
5)在公式的前面加入一个TAB(按一下Tab键),在公式与编号之间,再加入一个TAB
6)大功告成!
说明,第一步不是必须的
第四步,有一个麻烦的办法,供参考
在word的工具条中加入这样的一个命令:
FormatTabs(在定制工具条对话框中的 "全部命令"中)
可以用这个按钮完成第四步,非常简单!补充:居中,
标志上不是有页宽和制表位的位置表示的吗?按住Alt键可以细调,
也可以进入制表位设置对话框直接输入位置的.
如果这样的公式比较多的话,
建议将其定义成一个样式,
后面的这样的地方直接应用样式就可以了方法二:用表格。用Word自带的居中功能。
如果您是怕因为表格有边框,会影响到您的打印出来的效果,您完全可以使用虚框。
用表格即可:
插入一个若干行,2列的表格,调整列宽到合适位置,前一列设置居中,后一列设置右对齐.
选中表格-- 菜单 "表格 "--
表格属性-- 边框和底纹-- 边框:设置为 "无"-- 确定
另外表格的位置是可以设置的,页面的大小是可以知道的,只要通过位置的计算,您要他位于页面内的哪里都是可以做到的。方法三:
转载请注明出处51数据库 » word公式编号怎么输 word中的公式怎么自动编号急
朕定当大射天下










