log是对数,而ln是一种特殊的对数,以无理数e为底的对数,就是ln,也叫做自然对数。
如果a的x次方等于N(a>0,且a不等于1),那么数x叫做以a为底N的对数,记作x=logaN。其中,a叫做对数的底数,N叫做真数。
①特别地,我们称以10为底的对数叫做常用对数,并记为lg。
②称以无理数e(e=2.71828...)为底的对数称为自然对数,并记为ln。
③零没有对数。
④在实数范围内,负数无对数。 在复数范围内,负数是有对数的。
对数的计算:
①loga(M·N)=logaM+logaN(M>0,N>0)
②loga(M/N)=logaM-logaN(M>0,N>0)
③loga(M^N)=N·logaM
④loga(1/M)=-logaM
⑤logab=1/logba
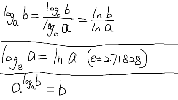
⑥换底公式:logab=lobcb/logca
log和ln之间的换算
嘿嘿,见图片吧,打字技术不过关!
换底公式log怎么换成lg和ln
log是对数符号,右边写真数和底数,(上面是真数,下面是底数)
底数为10时简写lg, log10= lg
底数为e时简写为ln, logeX=lnX
log和ln存在怎样的关系,
logeX=lnX
底数为e的对数就为ln
ln是自然对数,是以e为底的对数
lg是常用对数,是以10为底的对数
log是一般的对数,可以以任何大于0且不等于1的数为底
数学log多少等于1 log多少等于0
log10=1 log1=0
一般地,函数y=logax(a>0,且a≠1)叫做对数函数,也就是说以幂(真数)为自变量,指数为因
变量,底数为常量的函数,叫对数函数。
性质:
定义域:(0,+∞)
值域:实数集R,显然对数函数无界;
奇偶性:非奇非偶函数
周期性:不是周期函数
对称性:无
最值:无
零点:x=1
注意:负数和0没有对数。
扩展资料
表达方式
(1)常用对数:lg(b)=log10b(10为底数)
(2)自然对数:ln(b)=logeb(e为底数)
e为无限不循环小数,通常情况下只取e=2.71828
定义域求解:对数函数y=logax 的定义域是{x 丨x>0},但如果遇到对数型复合函数的定义域的求
解,除了要注意大于0以外,还应注意底数大于0且不等于1,如求函数y=logx(2x-1)的定义域,
需同时满足x>0且x≠1和2x-1>0 ,得到x>1/2且x≠1,即其定义域为 {x 丨x>1/2且x≠1}
定点:对数函数的函数图像恒过定点(1,0);
单调性:a>1时,在定义域上为单调增函数;
0<a<1时,在定义域上为单调减函数;
两句经典话:底真同对数正,底真异对数负。解释如下:
也就是说:若y=logab (其中a>0,a≠1,b>0)
当0<a<1, 0<b<1时,y=logab>0;
当a>1, b>1时,y=logab>0;
当0<a<1, b>1时,y=logab<0;
当a>1, 0<b<1时,y=logab<0。
Log和lg有什么区别?急急急!谢
lg的底为10,即log10(10为下标)的简写;
ln的底为e,即loge(e为下标)的简写;
log的底可为任意非1正数。
一般地,函数y=logax(a>0,且a≠1)叫做对数函数,也就是说以幂(真数)为自变量,指数为因变量,底数为常量的函数,叫对数函数。
其中x是自变量,函数的定义域是(0,+∞),即x>0。它实际上就是指数函数的反函数,可表示为x=ay。因此指数函数里对于a的规定,同样适用于对数函数。
“log”是拉丁文logarithm(对数)的缩写,读作:[英][lɔɡ][美][lɔɡ, lɑɡ]。
扩展资料:
通常将以10为底的对数叫常用对数,并把log10N记为lgN。另外,在科学计数中常使用以无理数e=2.71828···为底数的对数,以e为底的对数称为自然对数,并且把logeN记为In N。根据对数的定义,可以得到对数与指数间的关系:
由指数函数与对数函数的这个关系,可以得到关于对数的如下结论:
在实数范围内,负数和零没有对数;
,log以a为底1的对数为0(a为常数) 恒过点(1,0)。
参考资料:百度百科-对数函数
log(数学符号)是啥意思
对数符号log出自拉丁文logarithm,最早由意大利数学家卡瓦列里(Cavalieri)所使用。20世纪初,形成了对数的现代表示。
为了使用方便,人们逐渐把以10为底的常用对数及以无理数e为底的自然对数分别记作lgN和lnN。以a为底N的对数记作
。
在数学中,对数是对求幂的逆运算,正如除法是乘法的倒数,反之亦然。 这意味着一个数字的对数是必须产生另一个固定数字(基数)的指数。
在简单的情况下,乘数中的对数计数因子。更一般来说,乘幂允许将任何正实数提高到任何实际功率,总是产生正的结果,因此可以对于b不等于1的任何两个正实数b和x计算对数。
如果a的x次方等于N(a>0,且a不等于1),那么数x叫做以a为底N的对数(logarithm),记作x=logaN。其中,a叫做对数的底数,N叫做真数。
扩展资料:
对数的定义
如果
,即a的x次方等于N(a>0,且a≠1),那么数x叫做以a为底N的对数(logarithm),记作
。其中,a叫做对数的底数,N叫做真数,x叫做“以a为底N的对数”。
1、特别地,我们称以10为底的对数叫做常用对数(common logarithm),并记为lg。
2、称以无理数e(e=2.71828...)为底的对数称为自然对数(natural logarithm),并记为ln。
3、零没有对数。
4、在实数范围内,负数无对数。 在复数范围内,负数是有对数的。
事实上,当
, 则有e(2k+1)πi+1=0,所以ln(-1)的具有周期性的多个值,ln(-1)=(2k+1)πi。这样,任意一个负数的自然对数都具有周期性的多个值。例如:ln(-5)=(2k+1)πi+ln 5。
应用
对数在数学内外有许多应用。这些事件中的一些与尺度不变性的概念有关。例如,鹦鹉螺的壳的每个室是下一个的大致副本,由常数因子缩放。
这引起了对数螺旋。Benford关于领先数字分配的定律也可以通过尺度不变性来解释。对数也与自相似性相关。
例如,对数算法出现在算法分析中,通过将算法分解为两个类似的较小问题并修补其解决方案来解决问题。
自相似几何形状的尺寸,即其部分类似于整体图像的形状也基于对数。对数刻度对于量化与其绝对差异相反的值的相对变化是有用的。
此外,由于对数函数log(x)对于大的x而言增长非常缓慢,所以使用对数标度来压缩大规模科学数据。对数也出现在许多科学公式中,例如Tsiolkovsky火箭方程,Fenske方程或能斯特方程。
参考资料:百度百科-对数
log、lg和ln分别是?
log:表示对数,与指数相反。log₈2我们读作log以8为底,2的对数。具体计算方式是2的3次方为8,及以8为底2的对数就是3。
lg:10为底的对数,叫作常用对数。
ln:以无理数e(e=2.71828...)为底的对数,叫作自然对数
对数是对求幂的逆运算,正如除法是乘法的倒数,反之亦然。 这意味着一个数字的对数是必须产生另一个固定数字(基数)的指数。 在简单的情况下,乘数中的对数计数因子。更一般来说,乘幂允许将任何正实数提高到任何实际功率,总是产生正的结果,因此可以对于b不等于1的任何两个正实数b和x计算对数。
如果a的x次方等于N(a>0,且a不等于1),那么数x叫做以a为底N的对数(logarithm),记作x=logₐN。其中,a叫做对数的底数,N叫做真数。
扩展资料:
对数的运算法则:
1、两个正数的积的对数,等于同一底数的这两个数的对数的和,即
2、两个正数商的对数,等于同一底数的被除数的对数减去除数对数的差,即
3、一个正数幂的对数,等于幂的底数的对数乘以幂的指数,即
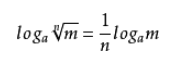
4、若式中幂指数则有以下的正数的算术根的对数运算法则:一个正数的算术根的对数,等于被开方数的对数除以根指数,即
参考资料来源:百度百科-对数
参考资料来源:百度百科-对数运算法则
转载请注明出处51数据库 » wordpress和simple-log ln与log的区别
黄鹤的小姨子00000









