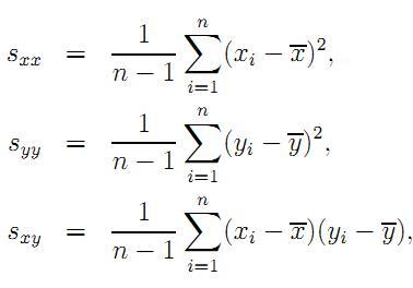
求相关系数r的公式
所谓“相关系数”,其完整的名称应该是“简单线性相关系数”,描述的是两个变量线性相关的程度,其公式如下面图片,并没有你所谓的“曲线相关的相关系数”的!另外有“多重相关系数”的,是多元线性回归里的概念,是一个变量Y与多个自变量X1,X2,…,Xn之间线性相关程度的描述,这恐怕不是你要问的了。
如何用SPSS软件计算相关系数?
analyze-correlate-bivariate-选择变量 OK 输出的是相关系数矩阵 相关系数下面的Sig.是显著性检验结果的P值,越接近0越显著。
另外,表格下会显示显著性检验的判断结果,你看看表格下的解释就知道,比如“**. Correlation is significant at the 0.01 level (2-tailed).” 就是说,如果相关系数后有"**"符号,代表在0.01显著性水平下显著相关 粗略判断的方法是,相关系数0.8以上,可以认为显著相关了
相关系数 R是什么含义,谢谢
相关系数R表示两个变量之间线性相关关系,r大于0时两个变量呈正相关;r小于0时两个变量呈负相关。
r的绝对值在1与-1之间。
r的绝对值越接近1,两个变量线性相关性越强;r的绝对值接近于0时表明两个变量几乎不存在线性相关关系。
通常r 绝对值大于0.75时就认为两个变量有很强的线性相关关系。
楼主…如果对你有帮助的话就请采纳了吧…手机一个字一个字打出来的
怎样求相关系数R值,公式是什么,用excel表怎样算
Spearman相关系数又称秩相关系数,是利用两变量的秩次大小作线性相关分析,对原始变量的分布不作要求,属于非参数统计方法,适用范围要广些。
对于服从Pearson相关系数的数据亦可计算Spearman相关系数,但统计效能要低一些。
Spearman相关系数的计算公式可以完全套用Spearman相关系数计算公式,但公式中的x和y用相应的秩次代替即可。
老外的例子,不需要看懂英文,有算例。
Statistics Toolbox Description: It calculates the Spearman rank correlation coefficient from 2 or more data sets, and the associated t-test and p-values. The code is adapted with major changes from the Numerical Recipes book (http://www.nr.com/) Example: >> x = [1 2 3 3 3]'; >> y = [1 2 2 4 3; rand(1,5)]'; >> [r,t,p] = spear(x,y) >> [r,t,p]=spear(x,y) r = 0.8250 -0.6000 t = 2.5285 -1.2990 p = 0.0855 0.2848用SPSS软件或matlab
线性相关系数r什么意思
展开全部 简单相关系数:又叫相关系数或线性相关系数,一般用字母r 表示,用来度量两个变量间的线性关系。
1.相关系数的值介于-1与+1之间,即-1≤r≤+1。
当r>0时,表示两变量正相关,当r<0时,表示两变量为负相关。
当|r|=1时,表示两变量为完全线性相关即函数关系。
当r=1时,称为完全正相关,而当r=-1时,称为完全负相关。
当r=0时,表示两变量间无线性相关关系。
...
求相关系数r的公式
展开全部 所谓“相关系数”,其完整的名称应该是“简单线性相关系数”,描述的是两个变量线性相关的程度,其公式如下面图片,并没有你所谓的“曲线相关的相关系数”的! 另外有“多重相关系数”的,是多元线性回归里的概念,是一个变量Y与多个自变量X1,X2,…,Xn之间线性相关程度的描述,这恐怕不是你要问的了。
...
安泽Rendoh丶