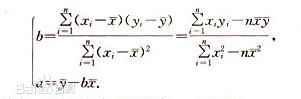
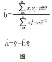
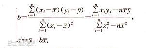
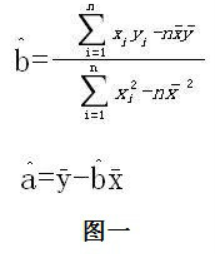
要确定回归直线方程①,只要确定a与回归系数b。回归直线的求法通常是最小二乘法:离差作为表示xi对应的回归直线纵坐标y与观察值yi的差,其几何意义可用点与其在回归直线竖直方向上的投影间的距离来描述。数学表达:Yi-y^=Yi-a-bXi.总离差不能用n个离差之和来表示,通常是用离差的平方和即(Yi-a-bXi)^2计算。即作为总离差,并使之达到最小,这样回归直线就是所有直线中除去最小值的那一条。这种使“离差平方和最小”的方法,叫做最小二乘法。用最小二乘法求回归直线方程中的a,b有图一和图二所示的公式进行参考。其中,
和
如图三所示,且
称为样本点的中心。
扩展资料
回归直线方程指在一组具有相关关系的变量的数据(x与Y)间,一条最好地反映x与y之间的关系直线。
离差作为表示Xi对应的回归直线纵坐标y与观察值Yi的差,其几何意义可用点与其在回归直线竖直方向上的投影间的距离来描述。数学表达:Yi-y^=Yi-a-bXi.
总离差不能用n个离差之和来表示,通常是用离差的平方和,即(Yi-a-bXi)^2计算。
参考资料:百度百科-回归直线方程
高中数学 回归直线方程公式: 这两个公式是一样的吗?都可以求回归直线方程?
都是可以的,求回归直线方程时候,可以借助这两个公式求解。
xi:第i个x值;yi:第i个y值;
x拔(x上面一横):表示这些横坐标的平均值;
y拔(y上面一横):表示这些纵坐标的平均值;
a:回归方程的截距;
b:回归方程的斜率
拓展资料
回归直线:一组点,在平面坐标系上表示,大都分布在某条直线附近,这条直线可以有很多条,但是最接近这些点的只有一条。这条直线就是回归直线。
线性回归方程中的a,b怎么计算
回归直线的求法
最小二乘法:
总离差不能用n个离差之和
来表示,通常是用离差的平方和,即
作为总离差,并使之达到最小,这样回归直线就是所有直线中Q取最小值的那一条,这种使“离差平方和最小”的方法,叫做最小二乘法:
由于绝对值使得计算不变,在实际应用中人们更喜欢用:Q=(y1-bx1-a)²+(y2-bx-a²)+。。。+(yn-bxn-a)²
这样,问题就归结于:当a,b取什么值时Q最小,即到点直线y=bx+a的“整体距离”最小。
用最小二乘法求回归直线方程中的a,b有下面的公式:

用卡西欧的计算器怎么算标准差,线性回归方程?
算标准差:
1."SHIFT"+"MODE(SETUP)"+"下"+"3(STAT)"+"1(ON)" 2."MODE"+"2(STAT)"+"1(1-VAR)" 3.在左边输入数字,右边输入数字出现的频率。 4."AC"+"SHIFT"+"1(STAT)"+"5(Var)"+"3(xσn)"+"=" 此时算出来的是标准差,(SD模式)平方就是方差。 http://www.99wenju.com/?gallery--n,82es-index.html 算线性回归方程:
Mode,选(STAT),里面选A+Bx,然后输入x、f(x)数据,AC回到主界面,Shift>(STAT)>7>A或B
A是截距,B是斜率
建议看说明书
怎样用计算器求回归直线方程 能用给{50}分
型号?速度补充
MODE > 2(STAT) > 2(A+BX)
输入点(x1,y1)(x2,y2)
AC > Shift > 1(VAR) > 7(Reg) > A 是直线中的b值,B是直线中的k值
回归方程中的xi指的是什么?怎么计算?
Xi和Yi表示第i组的X值和Y值,前面的符号是连加号,表示从Xi/Yi一直加到Xn/Yn。比如说有这么一组数据(X,Y):(1,2),(3,4)(5,8)(5,4)
那么Xi(i=1)就是1*3*5*5=75,Yi同理。Xi(i=2)=3*5*5=75。i表示从第i组的数一直乘到最后一个数。希望对你有所帮助。
怎么用office计算线性回归方程
可以用:EXCEL 计算线性回归。非常简单:
举一例:打开EXCEL界面
将1, 2, 3, 4, 5 输入到:A列
将5.1,9.9,14.7, 20.8, 25.2 输入到:B列
点击绘图图标,选XY绘图项;点击曲线,选择填加趋势项等
选用线性回归,则得到回归方程,及其公式和相关系数。
我用spss软件进行回归分析后,模拟回归方程怎么写啊?
x1,x2...x5是5个自变量,1个y因变量。
系数a图中是将x1与y建立一个线性回归模型,常量为1.956E-6,sig. 也即P值=1> 0.05,无统计学意义,x1的斜率为-0.504,P=0.000<0.05,具有显著意义,常量和斜率看非标准化系数,得方程为y= -0.504x1+1.956E-6,这其实是个一元线性回归方程;
然后逐渐的加入x2,x3,x4,x5进行二元线性回归,三元线性回归等。
一旦有一个变量,如x3的P值>0.05也就说明这个变量对模型的建立无统计学意义,在多元线性回归中也就可以无情的剔除掉。而由系数a图可知,x1, x2,x3,x4,x5的斜率P值都是0.000<0.05,
也就是说都有意义,5个变量一个也不能剔除,全保留,也即要5个变量都有的模型6了。
由模型汇总图也可知,模型1到6的调整R方是越来越大的,也即拟合的越来越好了。
那么最终的线性方程就看模型6啦,常量0.002,x1斜率-0.860,x2斜率-0.713...后面看不到了。
也即y=0.002-0.860x1-0.713x2...
常量P值=0.974>0.05无显著性意义,说明拟合的线过原点,也即常量值应为0,
但是否能改为0这个我也不确定,但0或0.002差别不会太大的。
厉害,一看就是高手。不好意思,系数那个表里缺一块,我现在补上,再把另外几个表补上。还有点问题想请指教。1.你说的那个常量为1.965E-6,这个E是什么意思?2.自变量一共有6个,从x1到x6,可能是我那个表缺一块的原因吧,抱歉了。系数表缺的部分:
能否将最终的模拟方程式写出来,不胜感激!
1.965E-6是指1.965乘10的-6次方。
已排除的变量表对应系数a表,模型1对应模型1,也即前一个表是进入,相对的后一个就排除。
模型1进入了x1,排除的x2,x3,x4,x5,x6中的x2的P值<0.05还不能排除,还要进入分析,
模型2,3等依次类推,一个也排除不掉。全部进入回归方程。
另,如果两变量间存在共线性的话,是不能都进入回归方程的。
判断依据为膨胀因子VIF<10,倒数即容差>0.1,
已排除变量图上可知各变量间不存在共线性,都不用排除。
常量P值>0.05可以去掉,各变量的斜率选用模型6的标准系数。
因而最终回归方程为:y=-0.860x1-0.713x2-0.567x3-0.414x4-0.254x5-0.130x6
转载请注明出处51数据库 » 回归直线方程软件计算 回归直线方程的计算方法
T当我的秀发拂过你的钢枪












