Minitab是一个软件集成包,由宾州州立大学的研究员Barbara F. Ryan, Thomas A. Ryan, Jr.,和Brian L. JoinerIt于1972年研发而成,最初以OMNITAB(由美国国家标准技术研究所编写的另一个统计分析软件)的简化本出现。
Minitab由Minitab股份公司发行。Minitab股份公司总部设立在宾西法尼亚州大学城,并在英国考文垂、法国巴黎和澳大利亚悉尼的设有分公司。
目前,Minitab的应用通常结合一些统计处理方法,如六标准差(Six Sigma), 能力成熟度模型集成(CMMI)等。
该软件的最新的版本Minitab 15提供了六种语言界面,包括英语,法语,德语,西班牙语,汉语和朝鲜语。
谁有看VUV的使用教程或者使用快捷键,看PCB GERBER用。
参考答案 45、那些刻在椅子背后的爱情,会不会像水泥上的花朵,开出没有风的,寂寞的森林。
c51用什么编译软件好?keil c V6.12与uv2,uv3这些版本是怎么选择?
这对于学C51其实没啥影响,选哪个都行,不要再这个上纠结,每个版本之间有一些细微的区别,按理说版本越高,可能功能越完善,其实都大同小异,我用了这么久单片机一直用的UV2,我的朋友用UV4,而我电脑里UV2,UV3,UV4都有,明白我的意思吧。。。相信你会怎么做了。
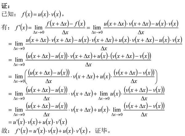
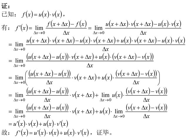
如何证明`=u`v+uv
是证明积函数的求导公式(u·v)'=u'·v+u·v'吧?
因为这里书写不便,故将我的答案做成图像贴于下方,谨供楼主参考(若图像显示过小,点击图片可以放大)
UG软件里一些U方向、V方向是什么意思
每个片体均包含U,V两个方向的阶次,在定义曲面网格,分别表现在网格的行和列上。
3ds max中的U和V各指什么,还有UV是什么意思?
贴图坐标
已指定 2D 贴图材质(或包含 2D 贴图的材质)的对象必须具有贴图坐标。这些坐标指定如何将贴图投射到材质,以及是将其投射为“图案”,还是平铺或镜像。贴图坐标也称为 UV 或 UVW 坐标。这些字母是指对象自己空间中的坐标,相对于将场景作为整体描述的 XYZ 坐标。
大多数可渲染的对象都拥有“生成贴图坐标”参数。默认情况下启用它,但是如果它关闭且对象使用贴图材质,则 3ds Max 会在您尝试渲染时显示一条警告。
某些对象(如可编辑的网格)没有自动贴图坐标。对于此对象类型,使用 UVW 贴图修改器为其指定一个坐标。
(参见3ds max帮助文件)
uvlayout uv分拆软件v2.09.04版怎么破解
1、安装完毕以后打开我们的注册机和桌面的软件。
2、然后将软件打开后界面中的Enter ID复制到注册机中。
3、点击注册机的generate生成key。
4、然后点击软件激活界面的edit按钮,弹出一个记事本,将key复制到其中,然后保存并关闭。
5、点击激活界面中的Refresh,
6、然后点击test即可完成破解。
uvlayout破解版:http://www.3322.cc/soft/12149.html
z=u2v-uv2, u=xcosy ,v=xsiny 求∂z/∂x ∂z/∂y 求答案
z=u²v-uv², u=xcosy ,v=xsiny; 求∂z/∂x ;∂z/∂y 。
解:∂z/∂x=(∂z/∂u)(∂u/∂x)+(∂z/∂v)(∂v/∂x)
=(2uv-v²)cosy+(u²-2uv)siny
∂z/∂y=(∂z/∂u)(∂u/∂y)+(∂z/∂v)(∂v/∂y)
=-(2uv-v²)(xsiny)+(u²-2uv)(xcosy)
=-(2uv-v²)v+(u²-2uv)u=v³-2uv²+u³-2u²v;
转载请注明出处51数据库 » vuv软件 minitabVUV是什么软件
吟游诗人
