1.概述
作为一种语言进行统计分析,r有一个随机数生成各种统计分布功能的综合性图书馆。r语言可以针对不同的分布,生成该分布下的随机数。其中,有许多常用的个分布可以直接调用。本文简单介绍生成常用分布随机数的方法,并介绍如何生成给定概率密度分布下的随机数。
2.常用分布的随机数
在r中各种概率函数都有统一的形式,即一套统一的 前缀+分布函数名:
d 表示密度函数(density);
p 表示分布函数(生成相应分布的累积概率密度函数);
q 表示分位数函数,能够返回特定分布的分位数(quantile);
r 表示随机函数,生成特定分布的随机数(random)。

2.1各种分布的随机数生存函数:
rnorm(n, mean=0, sd=1) #正态分布 rexp(n, rate=1) #指数 rgamma(n, shape, rate=1, scale=1/rate) #r 分布 rpois(n, lambda) #泊松 rt(n, df, ncp) #t 分布 rf(n, df1, df2, ncp) #f 分布 rchisq(n, df, ncp=0) #卡方分布 rbinom(n, size, prob) #二项分布 rweibull(n, shape, scale=1) #weibull 分布 rbata(n, shape1, shape2) #bata 分布runif(n,min=0,max=1) #均匀分布
2.2以二项分布为例,实现上述各类函数:
dbinom(x, size, prob, log = false)# 可用于计算二项分布的概率。 pbinom(q, size, prob, lower.tail = true, log.p = false)#二项分布的分布函数值 qbinom(p, size, prob, lower.tail = true, log.p = false)#生成二项分布的特定分位数 rbinom(n, size, prob)#生成二项分布的随机数
二项分布随机数
二项分布是指n次独立重复伯努利试验成功的次数的分布,每次伯努利试验的结果只有两个,成功和失败,记成功的概率为p。生成二项分布随机数的函数是:rbinom() 。句法是:rbinom(n,size,prob)。n表示生成的随机数数量,size表示进行伯努利试验的次数,prob表示一次贝努力试验成功的概率。
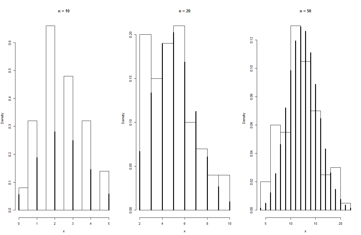
#例:产生100个n为10,20,50,概率p为0.25的二项分布随机数:
par(mfrow=c(1,3))
p=0.25
for( n in c(10,20,50)) {
x=rbinom(100,n,p)
hist(x,prob=t,main=paste("n =",n))
xvals=0:n
points(xvals,dbinom(xvals,n,p),type="h",lwd=3)
}
par(mfrow=c(1,1))

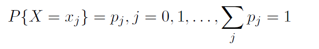
3.离散随机变量的生成3.1逆变换法
假设我们希望生成一个离散型随机变量x,它有密度

我们首先可以生成一个均匀分布的随机数,使得:




#代码实现如下:<br>p1<-0.15
p2<-0.2
p3<-0.3
p4<-0.35
disrand<-function(i){
u<-runif(1,0,1)
if(u<p1) x<-4 else
if(u<p2+p2) x<-2 else
if(u<p3+p2+p1) x<-1 else
x<-3
return(x)
}
3.2二项随机变量的生成



example:假设要生成1000个服从b(100,0.6)的随机数
p<-0.6
n<-100
c<-p/(1-p)
i<-0
pp<-(1-p)^n
f<-pp
binomialrandomev<-function(o){
u<-runif(1,0,1)
f<-
while(u>=f){
pp<-c*(n-i)*pp/(i+1)
f<-f+pp
i<-i+1
}
return(i)
}
sapply(c(1:1000),binomialrandomev)
到此这篇关于r语言生成随机数实例讲解的文章就介绍到这了,更多相关r语言生成随机数内容请搜索以前的文章或继续浏览下面的相关文章希望大家以后多多支持!
深情不及久伴red