前面讲解了存储普通树的双亲表示法和孩子表示法,本节来讲解最后一种常用方法——孩子兄弟表示法。

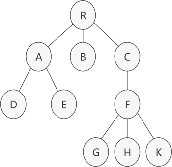
图 1 普通树示意图
树结构中,位于同一层的节点之间互为兄弟节点。例如,图 1 的普通树中,节点 A、B 和 C 互为兄弟节点,而节点 D、E 和 F 也互为兄弟节点。
孩子兄弟表示法,采用的是链式存储结构,其存储树的实现思想是:从树的根节点开始,依次用链表存储各个节点的孩子节点和兄弟节点。
因此,该链表中的节点应包含以下 3 部分内容(如图 2 所示):
节点的值;
指向孩子节点的指针;
指向兄弟节点的指针;

图 2 节点结构示意图
用 C 语言代码表示节点结构为:
#define ElemType char
typedef struct CSNode{
ElemType data;
struct CSNode * firstchild,*nextsibling;
}CSNode,*CSTree;
以图 1 为例,使用孩子兄弟表示法进行存储的结果如图 3 所示:

图 3 孩子兄弟表示法示意图
由图 3 可以看到,节点 R 无兄弟节点,其孩子节点是 A;节点 A 的兄弟节点分别是 B 和 C,其孩子节点为 D,依次类推。
实现图 3 中的 C 语言实现代码也很简单,根据图中链表的结构即可轻松完成链表的创建和使用,因此不再给出具体代码。
接下来观察图 1 和图 3。图 1 为原普通树,图 3 是由图 1 经过孩子兄弟表示法转化而来的一棵树,确切地说,图 3 是一棵二叉树。因此可以得出这样一个结论,即通过孩子兄弟表示法,任意一棵普通树都可以相应转化为一棵二叉树,换句话说,任意一棵普通树都有唯一的一棵二叉树于其对应。
因此,孩子兄弟表示法可以作为将普通树转化为二叉树的最有效方法,通常又被称为"二叉树表示法"或"二叉链表表示法"。
多情的公子