在学习连通图的基础上,本节学习什么是生成树,以及什么是生成森林。
对连通图进行遍历,过程中所经过的边和顶点的组合可看做是一棵普通树,通常称为生成树。

图 1 连通图及其对应的生成树
如图 1 所示,图 1a) 是一张连通图,图 1b) 是其对应的 2 种生成树。
连通图中,由于任意两顶点之间可能含有多条通路,遍历连通图的方式有多种,往往一张连通图可能有多种不同的生成树与之对应。
连通图中的生成树必须满足以下 2 个条件:
包含连通图中所有的顶点;
任意两顶点之间有且仅有一条通路;
因此,连通图的生成树具有这样的特征,即生成树中边的数量 = 顶点数 - 1。
生成森林
生成树是对应连通图来说,而生成森林是对应非连通图来说的。
我们知道,非连通图可分解为多个连通分量,而每个连通分量又各自对应多个生成树(至少是 1 棵),因此与整个非连通图相对应的,是由多棵生成树组成的生成森林。

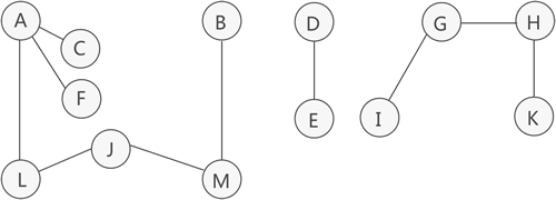
图 2 非连通图和连通分量
如图 2 所示,这是一张非连通图,可分解为 3 个连通分量,其中各个连通分量对应的生成树如图 3 所示:

图 3 生成森林
注意,图 3 中列出的仅是各个连通分量的其中一种生成树。
因此,多个连通分量对应的多棵生成树就构成了整个非连通图的生成森林。
宝爷心太乱