方法一:
插入文件法启动WORD,新建一个空白文档,执行“插入——〉文件”命令,打开“插入文件”对话框,定位到需要解除保护的文档所在的文件夹,选中相应文档,单击“插入”按钮,将加密保护的文档插入到新文档中,文档保护会被自动撤销。
方法二:
文件另存法打开保护的文档,执行“文件——〉另存为”
命令,打开“另存为”对话框,将“文件类型”选定为“WORD97—2003&6.0/95—RTF(*.doc)
”,然后取名保存,关闭该文档,重新打开一下,执行“工具——〉取消文档保护”命令即可或者将文件类型另存为HTML,然后将其中的内容,复制粘贴到新建文档
中。
方法三:写字板法启动写字板,打开保护的WORD文档,另存为WORD文档,同时可以取消对文档的保护。但此方法可能会使文档中的图片等要素丢失。
c# 写入word后 字符紧缩
选中输入的字符,点右键,选择“字体”命令,在打开对话框中切换到“字符间距”选项卡,在“间距”栏中选择标准或者加宽,在右边调整到合适的值就可以了
谢谢你的回答,但是我要的答案是在C#写入文件时myWordApp.Selection.Font 应该怎么设置,才能在输出的word文档中,支付间距不是缩进,而是标准
C#里面我搞不懂,但在Word中设置间距为标准可以使用此语句
Selection.Font.Spacing = 0
该属性值为负表示紧缩,为正表示加宽。
你可以试试将语句写成 myWordApp.Selection.Font.Spacing = 0 试试 祝你成功
如何用JavaScript打开WORD写入文本
必须用JS写吗?
你的 var text 能把内容存到这个text变量中
你可以在把这个变量传给Action或者Servlet中
然后通过输出流和FILE类 就能实现了
text变量在控制器中只定是汉字(String类型)
你给他转成字节类型的数组 就能用输出流了
我只能告诉你这个想法 我没理解你要写WORD 是不是纯JS写
不经过控制器。
补充回答:用我上面告诉你那思路就可以实现 就是JS只是负责把参数接过来传到控制器中并写入DOC文件 JAVA的代码 你要我能给你。
实现python文本写入word
准备
我测试使用的Python版本为2.7.10,如果你的版本是Python3.5的话,这里就不太适合了。
使用Speech API
原理
我们的想法是借助微软的语音接口,所以我们肯定是要进行调用 相关的接口。所以我们需要安装pywin32来帮助我们完成这一个底层的交互。
示例代码
import win32com.clientspeaker = win32com.client.Dispatch("SAPI.SpVoice")speaker.Speak("Hello, it works!")
小总结
是的,调用接口来实现语音功能就是这么简单,但是我们不得不来聊一聊这种方式的缺点。
对中文支持的不够好,仅仅是这一点,估计在中国没几个用它的了。
还有就是语速不能很好的控制
pyttsx方式
原理
pyttsx 是Python的一个关于文字转语音方面的很不错的库。我们还可以借助pyttsx来实现在线朗读rfc文件或者本地文件等等,最为关键的是,它对中文支持的还是不错的。
示例代码
# coding:utf-8import sysreload(sys)sys.setdefaultencoding('utf8')# __author__ = '郭 璞'# __date__ = '2016/8/6'# __Desc__ = 文字转语音输出import pyttsxengine = pyttsx.init()engine.say('hello world')engine.say('你好,郭璞')engine.runAndWait()# 朗读一次engine.endLoop()
小总结
使用pyttsx,我们可以借助其强大的API来实现我们基本的业务需求。很酷吧。
pyttsx深入研究
做完上面的小实验,你肯定会觉得怎么这么不过瘾呢?
别担心,下面我们就一起走进pyttsx的世界,深入的研究一下其工作原理吧。
语音引擎工厂
类似于设计模式中的“工厂模式”,pyttsx通过初始化来获取语音引擎。当我们第一次调用init操作的时候,会返回一个pyttsx的engine对象,再次调用的时候,如果存在engine对象实例,就会使用现有的,否则再重新创建一个。
pyttsx.init([driverName : string, debug : bool]) → pyttsx.Engine
从方法声明上来看,第一个参数指定的是语音驱动的名称,这个在底层适合操作系统密切相关的。如下:
1.drivename:由pyttsx.driver模块根据操作系统类型来调用,默认使用当前操作系统可以使用的最好的驱动
sapi5 - SAPI5 on Windows
nsss - NSSpeechSynthesizer on Mac OS X
espeak - eSpeak on every other platform
2.debug: 这第二个参数是指定要不要以调试状态输出,建议开发阶段设置为True
引擎接口
要想很好的运用一个库,不了解其API是不行的。下面来看看pyttsx。engine.Engine的引擎API。
方法签名 参数列表 返回值 简单释义
connect(topic : string, cb : callable) topic:要描述的事件名称;cb:回调函数 → dict 在给定的topic上添加回调通知
disconnect(token : dict) token:回调失联的返回标记 Void 结束连接
endLoop() None → None 简单来说就是结束事件循环
getProperty(name : string) name有这些枚举值“rate, vioce,vioces,volumn → object 获取当前引擎实例的属性值
setProperty(name : string) name有这些枚举值“rate, vioce,vioces,volumn → object 设置当前引擎实例的属性值
say(text : unicode, name : string) text:要进行朗读的文本数据; name: 关联发音人,一般用不到 → None 预设要朗读的文本数据,这也是“万事俱备,只欠东风”中的“万事俱备”
runAndWait() None → None 这个方法就是“东风”了。当事件队列中事件全部清空的时候返回
startLoop([useDriverLoop : bool]) useDriverLoop:是否启用驱动循环 → None 开启事件队列
元数据音调
在pyttsx.voice.Voice中,处理合成器的发音。
age
发音人的年龄,默认为None
gender
以字符串为类型的发音人性别: male, female, or neutral.默认为None
id
关于Voice的字符串确认信息. 通过 pyttsx.engine.Engine.setPropertyValue()来设置活动发音签名. 这个属性总是被定义。
languages
发音支持的语言列表,如果没有,则为一个空的列表。
name
发音人名称,默认为None.
更多测试
朗读文本
import pyttsxengine = pyttsx.init()engine.say('Sally sells seashells by the seashore.')engine.say('The quick brown fox jumped over the lazy dog.')engine.runAndWait()
事件监听
import pyttsxdef onStart(name): print 'starting', namedef onWord(name, location, length): print 'word', name, location, lengthdef onEnd(name, completed): print 'finishing', name, completedengine = pyttsx.init()engine.say('The quick brown fox jumped over the lazy dog.')engine.runAndWait()
打断发音
import pyttsxdef onWord(name, location, length): print 'word', name, location, length if location > 10: engine.stop()engine = pyttsx.init()engine.say('The quick brown fox jumped over the lazy dog.')engine.runAndWait()
更换发音人声音
engine = pyttsx.init()voices = engine.getProperty('voices')for voice in voices: engine.setProperty('voice', voice.id) engine.say('The quick brown fox jumped over the lazy dog.')engine.runAndWait()
语速控制
engine = pyttsx.init()rate = engine.getProperty('rate')engine.setProperty('rate', rate+50)engine.say('The quick brown fox jumped over the lazy dog.')engine.runAndWait()
音量控制
engine = pyttsx.init()volume = engine.getProperty('volume')engine.setProperty('volume', volume-0.25)engine.say('The quick brown fox jumped over the lazy dog.')engine.runAndWait()
执行一个事件驱动循环
engine = pyttsx.init()def onStart(name): print 'starting', namedef onWord(name, location, length): print 'word', name, location, lengthdef onEnd(name, completed): print 'finishing', name, completed if name == 'fox': engine.say('What a lazy dog!', 'dog') elif name == 'dog': engine.endLoop()engine = pyttsx.init()engine.say('The quick brown fox jumped over the lazy dog.', 'fox')engine.startLoop()
使用一个外部的驱动循环
engine = pyttsx.init()engine.say('The quick brown fox jumped over the lazy dog.', 'fox')engin(www.alOnely.Com.Cn)e.startLoop(False)# engine.iterate() must be called inside externalLoop()externalLoop()engine.endLoop()
总结
以上就是Python如何实现文本转语音的全部内容,看完了上面的讲述,是不是感觉Python实现文本转语音还是蛮简单的?那么,大家快来尝试尝试吧。希望本文对大家学习Python有所帮助。
怎样在写入word 的时候换行呢?
回车
怎么把回车写入word?write()?
试试\n把
手机上怎么写Word
手机上可以用WPS office写word文件:
(1)在手机上安装好WPS office,从桌面打开;
(2)在WPS office主页面点击右下角的加号;
(3)在弹出的窗口中选择新建文档;
(4)然后选择新建空白;
(5)最后你就可以的输入你的word文字了。
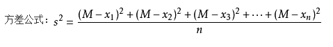
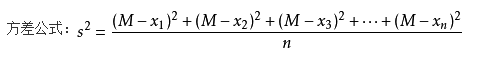
在WORD中如何写入方差公式
1、打开一个需要插入公式的文档,切换至“插入”选项卡,单击“文本”选项组中的“对象”按钮,即可打开“对象”对话框,在“对象类型”列表框中选择“Microsoft 公式 3.0”选项,单击“确定”按钮,如图所示。
2、返回到Word文档窗口,并显示“公式”工具栏和用于输入公式的文本框,如图所示。
3、在公式编辑文本框中直接输入“X=”,单击“公式”工具栏中的“分式和根式模版”按钮,在弹出的菜单中单击“标准尺寸的竖分式”按钮,即可输入一个分数线,如图所示。
4、单击分母位置处的文本框,并在其中输入字母内容,如图所示。
5、单击分子位置处的文本框并输入“-b”,单击“公式”工具栏中的“运算符号”按钮,从弹出菜单中单击“加或减”按钮,结果如图所示。
6、单击“公式”工具栏中的“分式和根式模版”按钮,在弹出的菜单中单击“平方根”按钮,在公式编辑文本框中输入“b”,单击“公式”工具栏中的“下标和上标模板”按钮,在弹出的菜单中单击“上标”按钮,在添加的上标文本框中输入“2”,如图所示。
7、按键盘上的→键,将光标移动到正常的水平位置,在公式编辑文本框中输入公式的剩余部分“-4ac”,单击文档中的空白位置,即可返回到文档的正常编辑状态,如图所示。
怎么把string写入word文档中?
public static void main(String[] args) {
// TODO Auto-generated method stub
String fileName = "a doc file";
File f = new File("e:\\" + fileName + ".doc");
OutputStream out = null;
try {
out = new FileOutputStream(f);
} catch (FileNotFoundException e) {
// TODO Auto-generated catch block
e.printStackTrace();
}
String name = "mike";
try {
out.write(name.getBytes());
out.close();
} catch (IOException e) {
// TODO Auto-generated catch block
e.printStackTrace();
}
}
转载请注明出处51数据库 » 写入word 怎么解除word写入保护
简单3355155













